Polyetheramine T-3000
Polyetheramine T-3000
| Cas no: | 64852-22-8 |
|---|
Introduction & Specs
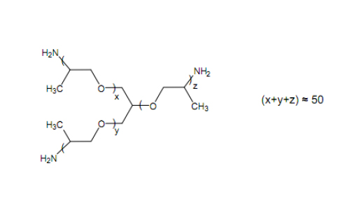
| Molecular formula: | CH2O [CH2CH(CH3)O]X CH2CH(CH3)NH2
CHO [CH2CH(CH3)O]YCH2CH(CH3)NH2 CH2O [CH2CH(CH3)O]ZCH2CH(CH3)NH2 X+Y+Z=50 |
| Description | PolyetheramineT-3000 polyetheramine is a triamine of approximately 3000 molecular weight. It is a clear, light yellow
almost colorless, liquid product having medium viscosity and very low vapor pressure. The viscosity is 1 in room temperature. |
| Application | Ø Highly reactive soft block in polyurea RIM or spray applications
Ø Thermoplastic polymer modifier and adhesion promoter in epoxy systems Ø Modifier and curative in polyurethane elastomers and foams Ø Providing surface corrosion resistance to epoxy and polyurethane systems. |
Sales Specification
| ITEMS | UNIT | SPECIFICATION |
| Appearance | Colorless to light yellow liquid | |
| Color degree | APHA | 60max |
| Primary amine | wt% | 97.0min |
| Moisture | wt% | 0.25max |
| Amine Value | mmol/g | 0.90-0.98
|
Packaging and Storage: Available in 200kg/drum or 1000KGS/IBC, stored in cool and dry place.
aton@predawnchem.com
With cooperation with domestic academy of sciences and many institutes, our plant is equipped with ....
