Predawn Chemical
Basic Amine Manufacturer
Basic Amine Manufacturer
About Us
With cooperation with domestic academy of sciences and many institutes, our plant is equipped with advanced technologies including aromatic ring hydrogenation and product separation and purification and separation of isomers. Predawn Chemical is known for its rapid, expert response to unique customer needs and our ability to quickly react to changing market demands.
Predawn Chemical is embarking on an international journey by expanding new markets, despite a challenging geopolitical backdrop.
Industries We Serve
With cooperation with domestic academy of sciences and many institutes, our plant is equipped with advanced technologies including aromatic ring hydrogenation and product separation and purification and separation of isomers.
(Temporary Use)With cooperation with domestic academy of sciences and many institutes, our plant is equipped with advanced technologies including aromatic ring hydrogenation and product separation and purification and separation of isomers.

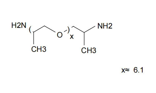
D-400 polyetheramine is characterized by repeating oxypropylene units in the backbone.

DETDA is a liquid-type aromatic curing agent and chain extender, predominantly employed in polyurea…

It is a highly efficient photoinitiator which combines fast cure response in dark colors, low migration…
aton@predawnchem.com
Utilizing today's most innovative technologies. Contact us to learn how we can help your business.
Our Service Philosophy
01
Tailored R&D
Solutions
Flexible development support from lab research to scale-up production.

02
Complex Synthesis
Support
Expertise in handling multi-step reactions and customized synthesis.

03
Process Improvement Services
Enhancing stability and efficiency through continuous
optimization.

04
Consistent Supply
Network
Reliable production and delivery through an integrated supply system.

Predawn is committed to keeping the environmental
impact of our manufacturing operations, products, and services to an absolute minimum.