Polyetheramine ED-2003
Polyetheramine ED-2003
| CAS No.: | 65605-36-9 |
|---|
Introduction & Specs
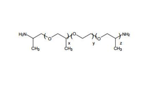
| Molecular Formula: | NH2CH(CH3)CH2-[OCH(CH3)CH2]x(OCH2CH2)y
[OCH2CH(CH3)]z-NH2 Y≈39, X+Z=6
|
| Introduction:
|
Polyetheramine ED-2003 is diamine of approximately 2000 molecular weight, based on a PEF(polyethylene glycol)backbne.
|
| Characteristic: | Ÿ An excellent water-dispersible hydrophilic polymer
Ÿ Low chroma, low vapor pressure and water-soluble
|
| Application: | Ÿ Water-borne Coatins
Ÿ Textile finishing agent Ÿ |
| Sales Specification |
|
| ITEMS | UNIT | SPECIFICATION |
| Appearance | White Wax | |
| Color degree | APHA | 75max |
| Water Content | wt% | 0.35max |
| Amine Value | mmol/g | 0.90-1.05 |
Packing and Storage: Available in 200kg/drum, stored in cool and dry place.
aton@predawnchem.com
With cooperation with domestic academy of sciences and many institutes, our plant is equipped with ....
