Polyetheramine D-230; Cas No.:9046-10-0
Polyetheramine D-230; Cas No.:9046-10-0
| Cas no: | 9046-10-0 |
|---|
Introduction & Specs
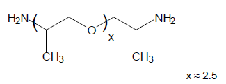
| Molecular formula: | (C3H6O)nC6H16N2O | |
| Applications: | Polyetheramine D230 amine is a polyether diamine with low color,low viscosity, and moderate reactivity in epoxy curing. The polyether backbone gives cured resins with relatively high elongation and good toughness and thermal shock resistance.Mainly used as epoxy curing agent, adhesives, and surfactants. | |
| Sales Specification | ||
| ITEMS | UNIT | SPECIFICATION |
| Appearance | Colorless to light yellow liquid | |
| Color degree | APHA | 30max |
| Primary amine | wt% | 95.0min |
| Moisture | wt% | 0.30max |
| Amine Value | MgKOH/g | 454-488 |
| Viscosity | mPa.S /25℃ | 15max |
| General Infomation | ||
| ITEMS | UNIT | SPECIFICATION |
| Specific Gravity | 25℃, g/cm³ | 0.95 |
| Refractive index | nD20 | 1.447 |
| Amine hydrogen equivalent | Wt(AHEW), g/eq | 60 |
| Packing and Storage: | Available in 195kg/drum, stored in cool and dry place | |
aton@predawnchem.com
With cooperation with domestic academy of sciences and many institutes, our plant is equipped with ....
