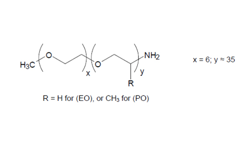
Polyetheramine M-2070; Cas No.:83713-01-3
Polyetheramine M-2070; Cas No.:83713-01-3
| Cas No.: | 83713-01-3 |
|---|
Introduction & Specs
| Molecular weight: | 173.253 |
| Density: | 1.072 g/ml, 25°C |
| Viscosity: | 186,37.8°C |
| AHEW: | 1040 g/eq |
| Primary Amine: | 95%min |
| Applications:
|
Ø Preparation of emulsifiers, pressure-sensitive adhesives and corrosion inhibitors, active dispersants, and epoxy resin emulsifiers (water-based epoxy resin)
Ø Molecular weight control agent for polyamide, comb like copolymers made from polyacrylic acid or similar linear polymers, and epoxy adducts made from them. Ø Prepare ore flotation agents, pesticide emulsifiers, epoxy resin emulsifiers, corrosive agents, etc. |
| Advantage
|
Amino groups have stronger activity than alcohols, polyether main chains provide flexibility, and water solubility, which are very beneficial for many applications.
|
| ITEMS | SPECIFICATION | TYPICAL COA |
| Appearance | Colorless to light yellow Liquid | Colorless Liquid |
| Color | 30 max, Pt-Co | 10 |
| Amine Value | 0.45-0.51, mmol/g | 0.49 |
| Water Content | 0.25% max | 0.16% |
Packing: Available in 200kg/drum, 1000kg/IBC, bulk ISO-Tank.
aton@predawnchem.com
With cooperation with domestic academy of sciences and many institutes, our plant is equipped with ....
