Whatsapp

+86 15821372151

Polyetheramine M-2005
Cas No.

83713-01-3

Chemical Name

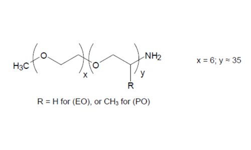
O-(2-Aminopropyl)-O’-(2-methoxyethyl)polypropylene glycol
Polypropylene glycol 500

Introduction & Specs
Description Polyetheramine M-series are monoamines based on PPG or PEG/PPG backbones.
Polyetheramine M-2005 polyetheramine is a nominal 2000 molecular weight monoamine with a PO/EO ratio of about 29/6.
Applications

 

Ø Molecular weight control in polyamides

Ø Preparation of comb polymers with poly(acrylic acid) or similar linear polymers

Ø Preparation of epoxy resin adducts.

 
Sale Specification
ITEMS SPECIFICATION TYPICAL COA
Appearance Colorless to pale yellow transparent liquid Colorless transparent liquid
Color, Pt-Co 30 max 11
Amine Value 0.44-0.52 mmol/g 0.51 mmol/g
Water Content 0.30% max` 0.05%

Packing:                Available in 200kg/drum, 1000kg/IBC, bulk ISO-Tank.

aton@predawnchem.com

With cooperation with domestic academy of sciences and many institutes, our plant is equipped with ....