Polyetheramine ED-900
Polyetheramine ED-900
| Cas No. | 65605-36–9 |
|---|---|
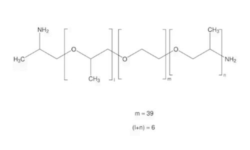
| Chemical Name | O,O′-Bis(2-aminopropyl) polypropylene glycol-block-polyethylene glycol-block-polypropylene glycol |
Introduction & Specs
| Description | Polyetheramine ED series are aliphatic polyether diamine derived from a propylene oxide-capped polyethylene glycol. Polyetheramines of this type are useful in a variety of polymers because of the hydrophilicity and flexibility imparted by the polyethylene glycol chain. In polyamides, for example, antistatic properties and moisture vapor transmission can be enhanced by incorporation of PEG-based polyether amine. |
| Polyetheramine ED-900 is an aliphatic polyether diamine derived from a propylene oxide-capped polyethylene glycol. It is water soluble, with an approximate molecular weight of 900 and a melting point around room temperature. | |
| Applications
|
Ø Modification of polyamides for enhanced hydrophilicity
Ø Preparation of biocompatible articles and coatings Ø Preparation of hydrogels with isocyanates Ø Hydrophilicity from polyethylene glycol Ø Reactivity from amine end group Ø Biocompatibility of polyethylene glycol |
| Sale Specification | ||
| ITEMS | SPECIFICATION | TYPICAL COA |
| Appearance | Colorless to pale yellow transparent liquid | Conform |
aton@predawnchem.com
With cooperation with domestic academy of sciences and many institutes, our plant is equipped with ....
