Polyetheramine B-100
Polyetheramine B-100
| Cas No. | 144736-30-1 |
|---|---|
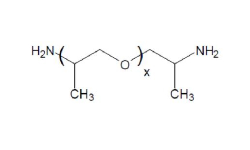
| Chemical Name | Poly[oxy(-1,2-ethanediyl)], alpha-(2-aminomethylethyl)-.omega.-(nonylphenoxy)-, branched |
Introduction & Specs
| EC No. | 683-304-1 |
| Molecular Weight | 1000 |
| Description | Polyetheramine B Series is an amine of approximately 1000-2000 average molecular weight, based on the reaction of Nonylphenol and PO. It contains a significant amount of long carbon chain as well as primary amine, which is a typical zwitterionic surfactant structure. Benefited from their special structure, they are widely used as detergent and dispersants. |
| Advantage | Low chroma and low vapor pressure |
| Applications
|
Ø Pigment dispersion intermediates in ink coating
Ø Raw Material for Epoxy Resin Ø Detergent for engine oil |
Sale Specification
| ITEMS | SPECIFICATION | TYPICAL COA |
| Appearance | Colorless to pale yellow transparent liquid | Colorless transparent liquid |
| Color, Pt-Co | 30 max | 9 |
| Primary Amine | 96% min | Conform |
| Amine Value | 0.95-1.08 mmol/g | 1.01 mmol/g |
| Water Content | 0.10% max` | 0.04% |
Packing: Available in 200kg/drum, 1000kg/IBC, bulk ISO-Tank.
aton@predawnchem.com
With cooperation with domestic academy of sciences and many institutes, our plant is equipped with ....
