Phenol, methylstyrenated; CAS No.:68512-30-1; EC No.:270-966-8; methylstyrenated phenol
Phenol, methylstyrenated; CAS No.:68512-30-1; EC No.:270-966-8; methylstyrenated phenol
| CAS No. | 68512-30-1 |
|---|---|
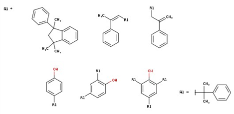
| Chemical name: | Oligomerisation and alkylation reaction products of 2-phenylpropene |
Introduction & Specs
| Phenol, methylstyrenated | |
| Chemical Name | Oligomerisation and alkylation reaction products of 2-phenylpropene and phenol |
| CAS No. | 68512-30-1 |
| EC No. | 270-966-8 |
| Hydroxyl Equivalent Weight | 70-95 mg KOH/g |
| Application | Phenol, methylstyrenated is a hydrocarbon resin and contains isomer of methylstyrenated phenol derivatives.
It is a liquid modifier with phenolic OH functionality. It is recommended for solvent-borne and solvent-free formulations based on epoxy, polyurethane, thermoplastic polyacrylics and polyaspartics as a plasticizer, hydrophobing agent, resistance enhancer, and viscosity modifier. Best known applications are industrial and marine anti-corrosive paints based on epoxy and polyurethane. Its recommended use level is 10-20% based on the epoxy resin. |
Sales Specification
| ITEMS | Specification | Typical COA | |
| Appearance | Pale yellow liquid | Conform | |
| Non-volatite matter content | 96% min | 96.14% | |
| Acid Value | 2% max | Conform | |
| Viscosity | 700-1300 cps | 1274cps | |
|
Packing |
Available in 200kg steel drums, 1000KGS/IBC, bulk, etc. |
||
| Storage | It should be stored and handled in cool, dry and well-ventilated areas. Prolonged storage or storage at elevated temperatures may cause the resin to fuse, block or lump and darken prematurely. | ||
| Shelf Life | 30 months from production date. | ||
aton@predawnchem.com
With cooperation with domestic academy of sciences and many institutes, our plant is equipped with ....
